Gas-water interaction in confined space of shale kerogen
-
摘要:
页岩储层中基质−流体之间的复杂相互作用对评估页岩气资源量和开发潜力至关重要。传统研究受限于数学表征模型假设较多的固有劣势,对不同尺度储集空间内气水吸附行为及其赋存规律的刻画仍不完善,使得限域空间内的气水相互作用过程和机制尚不明确。鉴于此,选取6组四川盆地海相龙马溪组页岩,对提取的干酪根开展干燥和含水条件下的甲烷吸附试验,而后采用分子模拟方法和改进的Ono-Kondo模型表征微纳米孔隙中气水吸附行为,最后探讨微纳米限域空间内气水相互作用机制。结果表明:干燥条件下甲烷填充吸附行为对总甲烷吸附量起主要贡献,同时甲烷填充吸附主要发生在微孔中,甲烷表面吸附则主要在中孔中。在含水条件下,甲烷的吸附行为会发生显著变化,原本在干燥条件下以填充吸附为主的样品会转变为以表面吸附为主。水分子以簇状分布堵塞占据微孔空间,并驱使甲烷至高能含硫位点周围,从而显著降低甲烷的填充吸附能力;相比之下,由于水分子和甲烷吸附位点的差异,水分子对中孔中甲烷表面吸附行为的影响相对较小。
Abstract:Understanding the shale matrix-fluid interactions is crucial for evaluating gas-in-place resources and the gas production potential in shale gas reservoirs. However, due to the assumptions of mathematical characteristic models, the existing research on the characterization of gas-water adsorption behavior and its occurrence patterns in nanopores with different scales is still incomplete, resulting in the mechanism of gas-water interaction in confined spaces still unclear. Methane adsorption experiments on six Longmaxi Formation shale kerogen were carried out under dry and wet conditions. Then, molecular simulation and an improved Ono–Kondo model were used to analyze the methane adsorption behaviors. Finally, the mechanism of gas-water interaction in micro nano confined spaces was discussed. Results show that under dry condition, methane adsorbed in the form of pore-filling contributes dominantly to the total methane adsorption amount. Pore-filling adsorption mainly occurs in micropores, while surface adsorption mainly occurs in mesopores. Under wet condition, the adsorption behavior of methane changes significantly. Samples that were originally adsorbed mainly by pore-filling under dry condition were transformed to be absorbed mainly by surface adsorption. The clustered distribution of water molecules drives methane to high-energy sulfur-containing sites by occupying the micropore space, resulting in a significant reduction in the filling adsorption capacity of methane. In contrast, due to the difference in adsorption sites between water molecules and methane, the influence of water molecules on the surface adsorption behavior of methane in mesopores is relatively small.
-
Keywords:
- shale kerogen /
- gas-water interaction /
- adsorption behavior /
- confined space /
- molecular simulation
-
0. 引 言
“十四五”以来,经地质、钻井、压裂、排采四大关键核心技术体系不断创新,我国页岩气产量迅速增长[1-3]。2023年,全国页岩气产量超过240亿 m3,同比增长4.3%,占全年天然气产量的11.56%[2,4-5]。虽然我国海相页岩气勘探开发已进入增储上产阶段,但我国四川盆地地质条件复杂,海相页岩气的保存条件和含气性变化仍具有高度不确定性,甚至出现部分区块含气性和产气量相矛盾的现象[6]。在地质勘探上,如何高效释放页岩储层的资源潜力仍然是规模化开发亟需解决的重要问题;在工程开发上,海相页岩气储层大规模缝网压裂通常面临2个关键问题:一是部分生产井往往表现出初期产量高、后期衰减快的特点,如何充分挖掘吸附态甲烷的资源潜力是维持稳产的核心问题;二是在页岩高束缚水饱和度的作用下,与产量密切相关的压裂液返排率普遍较低,如何理解储集空间和流体赋存的耦合关系是维持高产的突出问题。可见,页岩气储层中多相流体分布特征和储集空间耦合特性的浅薄认识极大地制约了页岩气藏高效开发[2, 6],深入开展气水相互作用及其动态地质效应研究是解决上述问题的关键。
页岩储层作为典型的气−液−固作用系统,多样的物质组成使得页岩气水相互作用更为复杂。页岩中的有机质含量通常不到10%,但凭借其亲油特性和有机质孔隙的高比表面积,有机质不仅对页岩总甲烷吸附和赋存起主要贡献,还可显著影响气水的运移能力[7-8]。因此有机质内气水赋存及相互作用的研究对评估页岩气水相互作用具有关键意义[9-10]。
体积法和质量法等温吸附试验被广泛用于甲烷吸附的研究。对于试验测得的吸附等温线,多种数学模型被提出以表征甲烷吸附过程,例如经典的朗格缪尔模型、简化局部密度模型和DR模型等[11-12]。尽管这些模型在一定程度上提升了我们对甲烷吸附机理的认识[13],但是对于不同孔隙中甲烷以何种吸附行为为主仍然尚未达成共识。甲烷吸附过程涉及多种吸附行为,如单层吸附和多层吸附等。一些模型分析和模拟研究发现甲烷以单层吸附的形式为主[14-15],而一些研究者通过比较不同的吸附行为对总吸附的贡献后认为甲烷主要以孔隙填充的形式被微孔吸附[16-17]。可见,当前对于不同尺度孔隙空间内甲烷以何种吸附形式为主仍存争议。造成当前问题的一个主要原因在于不同研究者所采用的甲烷吸附模型不同。以朗格缪尔和SLD模型为例,朗格缪尔模型假设所有甲烷分子都以单层覆盖的形式吸附在一个平坦的、能量均匀的表面上,而SLD模型是基于狭缝孔的假设,通过计算流体和流体/表面之间的化学势推导出来的。显然,基于理想化的假设仍然难以揭示甲烷在非均质限域纳米孔中的复杂吸附行为。因此,有必要验证所采用的吸附模型的可靠性,并且需要重新评估限域纳米空间内的气水相互作用特征。
鉴于此,研究以页岩有机质气水赋存及其相互作用为主线,宏观试验表征和微观分子模拟手段并行,刻画干燥和含水条件下的甲烷吸附过程,阐明储集空间和气水耦合关联,揭示气水和页岩有机质作用的微观机理。研究以期深化页岩气地质理论与评价方法,为页岩气高效开发提供理论支撑。
1. 样品及试验方法
1.1 样品采集与基本信息
在四川盆地东部、东北部和南部地区(图1),共采集9套不同露头剖面的志留系龙马溪组页岩,岩性上主要为龙马溪组一段的富有机质黑色和灰黑色页岩,还有部分龙二段的深灰色粉砂质泥页岩。所有采集的岩样均使用密封袋包装并张贴采样点标识,以保证其完整性并且避免运输过程中的可能对样品造成的潜在污染。
对于采集的样品,首先开展成熟度测定和干酪根提取试验。根据SY/T 5124—2012,采用Axio成像仪测量镜质体反射率。由于志留系龙马溪组页岩中缺乏镜质组成分,因此采用JACOB等[18]提出的固体沥青反射率和等效镜质体反射率换算公式计算成熟度。按照GB/T 19144—2010开展干酪根分离处理工作。分离程序首先加入质量分数20%的HCl以及质量分数20% HCl和40% HF的混合物去除碳酸盐和硅酸盐矿物。用质量分数20%的盐酸和锌颗粒去除黄铁矿,然后用氯仿萃取去除固体沥青。需要注意的是,当前的试验方法无法提取出100%纯度的干酪根,仍会存在少量如黄铁矿等难以溶蚀的矿物。考虑到本次试验提取的干酪根样品量较少和后续试验的消耗,未对提取的干酪根开展纯度和残余矿物测定,这一点会在未来的研究中进一步完善。采样照片、干酪根的理化性质(成熟度、孔隙体积)等基本信息见表1,详细的预处理和测试过程在之前的研究中已有报道[11,18]。
表 1 系列样品的基本信息Table 1. Sample information样品编号 采样位置 成熟度Ro/% 孔隙体积/(cm3·g−1) 微孔 中孔 LJ 城口地区罗江剖面 1.27 0.035 0.082 PS 彭水地区鹿角剖面 1.44 0.007 0.015 BP 城口地区北坪剖面 1.66 0.014 0.163 MY 开州地区满月剖面 2.24 0.031 0.074 TB 城口地区田坝剖面 2.66 0.038 0.299 QL 石柱地区漆辽剖面 2.93 0.061 0.272 注:采用国际纯粹与应用化学联合会(IUPAC)的孔隙分类标准。微孔( < 2 nm)和中孔(2~50 nm)体积通过二氧化碳和氮气吸附测试得到。 含水样品源于前期的水蒸汽吸附试验研究。根据ASTM D1412/D1412M—15 (2015) 标准开展水蒸气吸附试验,在经过脱气除杂处理后,将干燥样品置于饱和硫酸钾溶液营造的97%相对湿度环境下吸附平衡得到。采用水吸附平衡模型,通过毛细凝聚的判定、计算水膜厚度以及吸附层数表征含水样品不同尺度孔隙内的含水比例,详细的样品含水率表征过程和结果可在前期研究中获取[11]。系列样品的含水饱和度和不同尺度孔隙内含水比例见表2。
表 2 含水样品水分布特征Table 2. Water distribution characteristics of wet samples样品编号 含水饱和度/% 微孔中含水比例/% 中孔中含水比例/% LJ 68.08 34.62 55.22 PS 66.65 11.61 77.93 BP 61.29 8.19 77.35 MY 62.59 33.21 56.18 TB 81.65 17.89 53.23 QL 41.15 23.59 58.29 1.2 甲烷吸附试验
甲烷等温吸附试验包括干燥条件下和含水条件下2组实验。甲烷等温吸附试验流程参照GB/T 35210.1—2017《页岩甲烷等温吸附测定方法》和GB/T 19560—2008《煤的高压等温吸附试验方法》,在303 K对系列样品开展体积法甲烷吸附试验。试验前,采集约10 g干酪根样品在110 ℃的真空环境中干燥脱气24 h以去除杂质,经过泄漏测试和自由空间体积测定后,采用加压—平衡—加压程序在0~22 MPa下测定甲烷吸附等温线[19]。
对于含水样品,干燥与除气操作不仅会让系列样品中已吸附的水(可动水)丢失,还可能会使得少量不可动水发生运移等行为,从而破坏样品原本的含水条件。为避免该情况的发生,此次甲烷等温吸附试验不对系列含水样品进行抽真空和干燥等流程。在进行完水蒸气吸附试验后便立即对系列含水样品进行甲烷等温吸附试验以保留样品中的水分。含水条件下甲烷吸附同样在303 K温度下开展。经过泄漏测试和自由空间体积测定后,采用加压−平衡−加压程序在0~22 MPa下测定甲烷吸附等温线。除真空脱气和干燥外,其余操作流程与干燥条件下甲烷吸附试验一致。
1.3 甲烷吸附模型
目前研究甲烷吸附等温线常用的模型有Langmuir模型、DR模型等。Langmuir模型是基于理想均质表面上气体分子的单层吸附的假设,描述吸附质的表面覆盖率,因此并不适用于描述多孔介质中孔径分布特征对气体吸附的影响[20-21];DR模型是基于孔隙填充理论提出的吸附势能和吸附层体积函数关系的半经验公式[22];SAKUROVS等[23]在此基础上,通过用吸附相密度代替饱和蒸汽压力提出了适用于超临界状态下的微孔填充(SDR)模型。尽管SDR模型已广泛用于页岩中绝对吸附等温线的表征,但该模型并未区分甲烷的吸附和游离气相2种赋存方式。这些现存模型在研究等温吸附线时都存在2个主要的问题:① 一部分模型是通过先假定吸附机理,而后建立相关模型,然后采用模型去拟合吸附曲线,例如朗格缪尔模型。这类模型预先假设吸附机理并根据数据拟合结果再去研究甲烷吸附机理的过程值得商榷;② 另一个是一些模型的适用性问题,如局域密度函数SLD模型这类,通过假定吸附空间的形貌而后基于热力学等建立模型,这类模型的普适性仍需进一步讨论。因此在研究限域空间内甲烷的吸附行为前需建立一个更为准确可靠的吸附模型。
Ono-Kondo(OK)模型广泛应用于多孔材料的吸附研究中,在研究页岩和煤中甲烷吸附方面被证明有较好的适用性[24]。从原理上来说,OK模型将吸附剂中的吸附空间划分为网格,每个网格容纳1个吸附质分子,进而根据热力学统计法推导吸附模型,故不受吸附层数的限制[25],既可以描述单层也可以描述多层吸附;在模型的假设层面上,未对吸附机理做先行假设;在吸附过程中,OK模型不仅考虑了吸附剂和吸附质之间的相互作用,也纳入了吸附质之间相互作用的考虑。因此研究采用晶格理论的OK模型,并对其进行改进以分析甲烷吸附行为。
在OK模型中,假设吸附系统由含有吸附分子和基质中吸附空间内空位的吸附位点组成。当吸附质分子开始被吸附至空位k时,吸附分子在晶格空位上的交换可以表示为
Mk+V∞→Vk+M∞ (1) 式中:M为吸附质分子;V为晶格内的空位空间;k和∞分别为吸附位点和无穷远处以体相形式存在的位点。
在温压不变的情况下,吸附过程达到平衡时吉布斯自由能的变化为0,可以表示为
ΔGi=ΔHi−TΔSi (2) 式中:∆Gi、∆Hi和∆Si分别为在每一层由于吸附分子的交换带来的吉布斯自由能、焓变和熵变;T为吸附温度,K。
熵变还可以表示为
ΔSi=kBlnX1,i−kBlnX2,i (3) X1,iX0=Xi(1−Xb) (4) X2,iX0=Xb(1−Xi) (5) 式中:kB为玻尔兹曼常数;X1,i为吸附质分子占据吸附相的构型数量和在第i层空位空间中体相的位置;X2,i为吸附相为空位处和第i层的体相吸附质分子的构象数量;X0为吸附系统内的总构象数;Xi和Xb分别为第i层中吸附相分子和体相分子的比例。
第i层占据的比例Xi和Xb可以表示为
Xi=ρa,iρam (6) Xb=ρbρam (7) 式中:ρa,i为第i层的密度,g/cm3;ρam和ρb分别为每层最大密度和体相的密度,g/cm3。
通过把式(4)和式(5)代入到式(3)中,可以将熵变转换为
ΔSi=kBXi(1−Xb)Xb(1−Xi) (8) 除吸附层附近的第1层外(i≥2),晶格OK模型的焓变可以用基于平均场近似的位于相邻层之间分子的相互作用来表示为
ΔHi=−ε(Z1Xi+1+Z2Xi+Z1Xi−1−Z0Xb) (9) 式中:ε为吸附质分子之间的相互作用能,J;对于立方晶格结构,体相Z0、单层Z2和多层Z1(Z0−Z22)的配位数分别为6、1和4。
考虑到吸附质和吸附剂表面的相互作用εs,第1层(吸附层数i=1)吸附质的焓变可以表示为
ΔHi=−ε(Z1Xi+1+Z2Xi−Z0Xb)−εs (10) 基于以上热力学方程,当甲烷吸附过程处于平衡状态时,基于平均场近似的晶格模型热力学平衡的经典表达式为
ln[Xi(1−Xb)Xb(1−Xi)]+(Z1X2+Z2X1−Z0Xb)εkT+εskT=0 (11) 式(11)为第1层吸附表达式,其余吸附层表达式为
ln[Xi(1−Xb)Xb(1−Xi)]+(Z1Xi+1+Z2Xi+Z1Xi−1−Z0Xb)εkT=0 (12) 其中,εεs的绝对值越大,表示流体和流体/表面的相互作用越强。
根据GIBBS[26]和TIAN等[27],GIBBS过剩吸附量nex可表示为各层甲烷吸附量之和:
nex=n0n∑i=1(Xi−Xb) (13) 式中:n0为单层饱和吸附量;n为最大吸附层数。
假设每个吸附层的厚度不变,将式(6)和式(7)代入到式(13),可以将过剩吸附量表示为
nex=2n0ρb[1−exp(εskT)]ρbρamρam−ρb+ρamexp(εskT) (14) 2. 分子模拟分析
2.1 大分子结构模型
考虑到构建模型的时间以及后续的模拟成本较高,且为了凸显所选样品在化学结构上的差异性,研究选取成熟度最低的LJ样品和成熟度最高的QL样品为例,构建2个典型的三维大分子模型开展后续的分子模拟分析(图2)。大分子模型构建方法、LJ和QL这2个模型结构参数及模型可靠性的验证在前期的研究中已有报道[12]。2个模型的结构参数见表3。在化学结构方面,2个样品的碳骨架均以芳香结构为主。不同点在于,成熟度较低的LJ样品的脂肪结构(28.31%)明显大于高成熟度的QL样品(13.69%)。从模型中还可以发现,LJ的芳香环多以单个苯环和2×2萘结构的稠环芳烃为主,而QL主要是3×3的蒽结构为主。造成2个样品化学结构差异的原因源于多种地质因素,例如早期沉积环境的物源本源差异、后期成岩过程中的抬升压实和热成熟作用、2处样品的地质构造差异等。
表 3 LJ和QL大分子模型的组成和结构参数Table 3. Compositional and structural parameters of LJ and QL models2.2 模拟过程和细节
采用分子模拟技术探究微纳米孔隙内气水吸附行为。分子模拟在Materials Studio2017 (MS)中开展,模拟过程包括吸附模拟、分子动力学模拟和孔隙模拟3部分。
甲烷吸附模拟在Sorption模块中采用巨正则蒙特卡洛方法(GCMC)进行。模拟压力梯度与甲烷吸附试验设定一致,采用Fix Pressure定压逐点法测定。吸附过程中甲烷分子采用TraPPE模型,模拟的力场类型同样为Compass Ⅱ立场,其中范德华力相互作用采用Atom & Based方法,通过LJ 12-6势能模型进行描述;库仑力相互作用根据Ewald & Group法描述。每次GCMC模拟加载的总生产步数为2×106,其中平衡步数为1×106,过程步数为1×106,取后1×106种构型进行吸附量的统计。需要注意的是,含水模型中加载的水分子量同样采用GCMC方法,根据水蒸气吸附试验测得的样品的实际水吸附量Nw为
Nw=VRH1000NaMmodel (15) 式中:VRH为在一定相对湿度下的水吸附量,mmol/g;Na为阿伏伽德罗常数,取6.022×1023 mol−1;Mmodel为模型的质量,10−24 g。
在得到稳定的甲烷吸附构型后,采用NPT分子动力学模拟气水赋存,通过NPT动力学模拟得到的径向分布函数RDF用以研究气水动态相互作用。NPT动力学模拟的总动态时间和时间步长分别为2 ns和1.0 fs。模拟期间采用耦合常数为0.1 ps的Andersen恒温器来控制NPT模拟过程中的温度变化。
对于构建的大分子模型,在Atom Volume & Surfaces模块中采用分子探针法检测模型的孔隙结构。其基本原理为将一个固定Connolly半径的给定探针分子(如水或二氧化碳分子)随机插入分子模型中,并沿着大分子模型骨架的范德华表面滚动,逐点进行扫描,从而根据骨架表面包裹的空隙来识别孔隙体积。
3. 试验结果及分析
3.1 基于试验的甲烷吸附等温线
基于试验测得的甲烷过剩吸附曲线如图3所示。根据IUPAC的分类,系列样品的甲烷吸附等温线均表现为Ⅰ型吸附曲线特征。以干燥条件下的甲烷吸附曲线特征为例,随着压力的增大,过剩吸附量表现为逐渐增大,并在大约10 MPa达到一个最大吸附量,而后开始逐渐减小的趋势。这样的吸附曲线变化模式在之前的研究中也被广泛报道,并且普遍被认为是由于随着压力的增大,吸附相的体积无法被忽略所导致。此外,与干燥条件对比可以发现,含水条件下的甲烷吸附量均有明显的降低,甲烷最大吸附量的平均降低幅度为61.34%。
3.2 基于模拟的甲烷吸附等温线
图4为LJ和QL样品的过剩吸附试验和模拟曲线对比。可以看到2个样品的甲烷吸附模拟曲线和实验测试结果尽管没有完全重合,但是在变化趋势和吸附量的数量级上较为一致。试验和模拟曲线的差异主要源于3个方面:① 在试验的前期预处理上,研究样品很难提取出100%的纯干酪根,会存在残余矿物等物质,残余矿物会让试验测得的甲烷吸附量偏大;② 对于大分子模型而言,很难完全复刻实际干酪根的物理化学性质,这也会导致试验和模拟的甲烷吸附量出现偏差;③ 从原理上来说,分子模拟是通过统计微观层面每个分子之间相互作用来计算吸附量,即使是单个甲烷分子的吸附也可以被准确地捕捉到;而试验是通过观测宏观压力变化来判断吸附是否达到平衡,一些吸附性较低的样品需要花费较长的平衡时间才能捕捉到吸附量的变化。基于此,该分子模拟与试验测试的甲烷吸附曲线结果的这一差异是可以被接受的。
4. 讨 论
4.1 甲烷吸附模型的改进和验证
OK晶格理论是通过假设吸附层为晶格单元进而基于晶格内的吸附位点的热力学统计计算吸附量。这意味着OK模型只考虑了甲烷在吸附位点上的吸附行为,即在基质表面上的吸附行为。然而试验和模拟研究早已证实,甲烷不仅可以吸附在基质表面,还可以通过孔隙填充的形式吸附于微纳米孔隙内,甚至也有研究表明甲烷的孔隙填充吸附占总甲烷吸附量的比例最大可达74%~99%。这说明原始的OK模型忽略了甲烷的孔隙填充这一吸附行为。那么针对这一点,可对原OK吸附模型进行优化。
根据SAKUROVS等[23],甲烷的孔隙填充量可以根据式(16)计算:
nex=nfexp[−D(lnρaρb)2](1−ρaρb) (16) 式中:nf为甲烷孔隙填充的最大绝对吸附容量,mmol/g;D为孔隙结构非均质性参数;ρa为吸附态甲烷的密度,g/cm3。
因此,修改后的OK模型(M-OK)计算的总吸附量可表示为
nex=2n0ρb[1−exp(εskT)]ρbρamρam−ρb+ρamexp(εskT)+nfexp[−D(lnρaρb)2](1−ρaρb) (17) 式中:加号前部第1项描述甲烷在基质表面的吸附行为;加号后部第2项描述甲烷以孔隙填充形式的吸附行为。
基于M-OK模型,采用最小二乘法拟合吸附等温线,可得到甲烷表面/孔隙填充吸附的最大绝对吸附量n0/nf和吸附相密度。拟合的过剩吸附曲线结果如图5所示。系列样品的过剩吸附量的拟合效果较好,拟合优度均大于0.97。
为了评价M-OK模型的拟合效果,将M-OK模型的拟合结果与原OK模型和目前应用最广泛的Langmuir模型的拟合结果进行了比较(表4)。从拟合参数来看,均表现为Langmuir模型最大,原OK模型次之,M-OK模型最小的特征。并且在吸附相密度上可以发现,原OK模型和Langmuir模型拟合的甲烷吸附相密度ρa都大于用M-OK模型拟合得到的吸附相密度ρa。尤其在PS和MY样品中,原OK模型和Langmuir模型拟合得到的吸附相密度甚至大于液态甲烷密度0.423 g/cm3,这种拟合得到的过大的甲烷吸附相密度往往会在过剩吸附等温线和绝对吸附等温线的转换过程中产生较大偏差。这也证明与原OK模型和Langmuir模型相比,M-OK模型更适用于拟合甲烷的过剩吸附曲线。
表 4 不同吸附模型拟合参数Table 4. Fitting parameters of different adsorption models吸附模型 拟合参数 样品编号 LJ PS BP MY TB QL M-OK n0/(mmol·g−1) 0.26 0.057 0.39 0.21 0.42 0.64 nf/(mmo·g−1) 1.68 0.08 1.11 1.60 1.79 2.29 ρa/(g·cm−3) 0.21 0.39 0.33 0.40 0.23 0.19 OK n0/(mmol·g−1) 1.54 0.07 0.82 0.99 1.31 2.12 ρmc/(g·cm−3) 0.20 0.54 0.35 0.48 0.27 0.21 Langmuir VL/(mmol·g−1) 3.08 0.14 1.65 1.99 2.61 4.23 PL/MPa 11.65 1.47 1.62 4.19 1.52 4.06 ρa/(g·cm−3) 0.21 0.54 0.35 0.48 0.26 0.22 为进一步定量评价M-OK模型拟合优度,采用4个统计参数独立计算拟合曲线的误差(式(18)—式(21)):标准估计误差(ESE)、最小残差平方和(SRS)、相对误差绝对值(EAR)和卡方分析(χ2)。计算的曲线误差参数值越小,则说明拟合效果越好。
ESE=√∑(mE−mF)2N (18) SRS=∑(mE−mF)2 (19) EAR=∑|mE−mFmE| (20) χ2=∑(mE−mF)2mE (21) 式中:mE和mF分别为试验数据和模型数据;N为总的数据点。
从图6可以发现,M-OK模型拟合结果的4个误差评价参数在数值上普遍低于原OK模型和Langmuir模型,这表明了M-OK模型更适合于甲烷过剩吸附曲线的拟合。
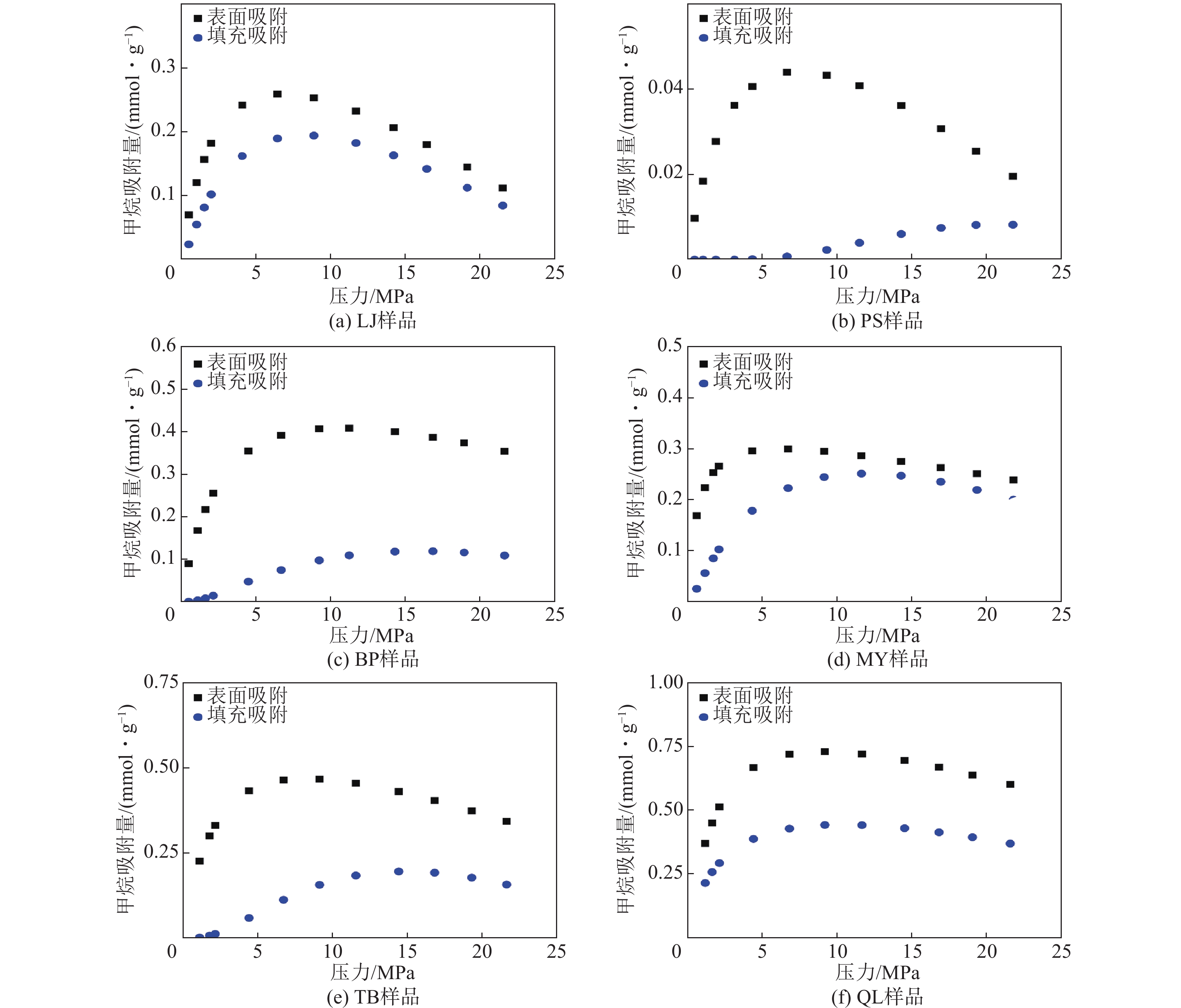
4.2 干燥条件下甲烷吸附行为分析
基于式(17)可以分别对甲烷的表面吸附和孔隙填充吸附行为进行量化分析。如图7所示,根据曲线的形态和吸附量可以发现,除PS样品外,其余样品均为孔隙填充吸附对总甲烷吸附量的贡献最大。
通过对比系列样品的孔隙发育情况可以发现,PS样品的孔体积明显小于其余样品。这说明甲烷吸附行为的差异或许与孔隙发育情况有关。图8为吸附行为和孔隙体积关系。填充吸附能力随微孔体积增大而增大,而表面吸附能力则与中孔体积表现出正相关性。这意味着甲烷的填充吸附行为主要和微孔发育有关,表面吸附行为则是主要和中孔发育情况有关。
基于动力学模拟进一步分析甲烷的微观吸附行为。图9为LJ和QL的甲烷吸附平衡构型。为了使纳米孔隙中的甲烷分布更为清楚明了,此处将模型的本构骨架结构隐去。可以看到在LJ中,甲烷主要以填充聚集的形式被吸附(图9b—图9d)。而在QL中,甲烷表现为2种分布方式:大多数甲烷分子以聚集态分布(图9e—图9g),其余甲烷分子以层状表面吸附的形式分布(图9h)。这表明了微观模拟分析和基于M-OK模型的定量分析结果相一致。
4.3 含水条件下甲烷吸附行为分析
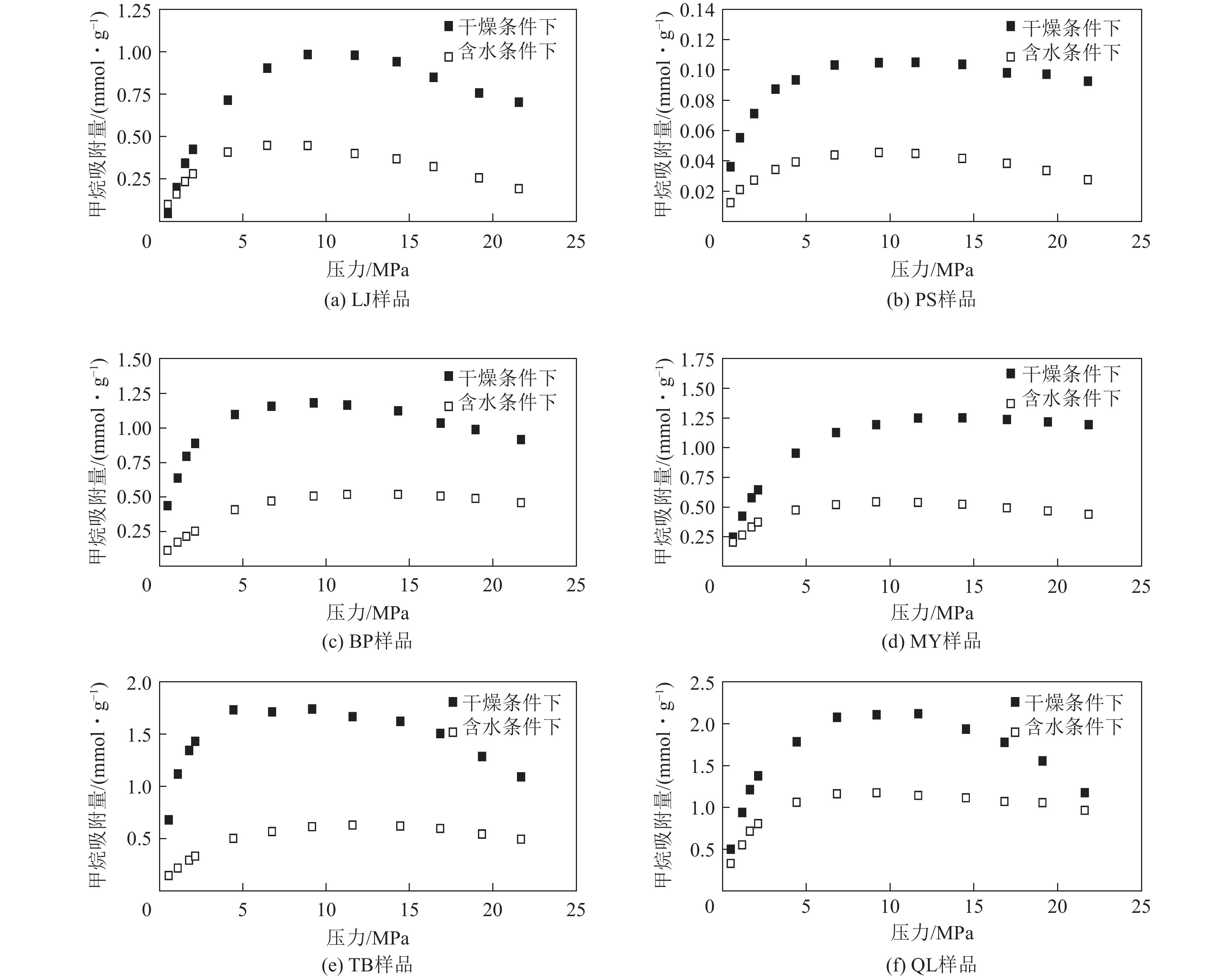
基于M-OK模型表征得到的含水条件下甲烷表面吸附和填充吸附曲线如图10所示。与干燥条件下甲烷吸附行为曲线相比,原本以甲烷填充吸附行为为主的样品因水的存在转变为以表面吸附为主。这表明水的存在极大的影响了甲烷的吸附行为,并且主要不利于甲烷的填充吸附能力。
从甲烷的吸附构型图也可以发现,大多数孔隙被水分子占据,含水条件下吸附的甲烷分子数明显减少(图11a和图11e),同时在吸附行为上也可以发现水分子对甲烷填充吸附行为的影响要比对表面吸附行为的影响更大。原本在干燥条件下以填充吸附赋存的甲烷的孔隙空间几乎都被水分子团簇所占据(图11b—图11d)。而甲烷的表面吸附行为则受水分子影响相对较小(图11f—图11h)。
4.4 气水相互作用机制
根据之前研究厘定的不同尺度微纳米孔隙内水分布特征,进一步探讨水对甲烷吸附行为的影响。由于水的存在,系列样品的甲烷吸附量降低46%~59%,并且总含水率与甲烷吸附的减小量表现相同的趋势,即含水率越高,甲烷吸附量的减小量越大(图12)。
微孔和中孔含水率与甲烷的表面吸附能力和填充吸附能力对比如图13所示。含水条件下的甲烷表面吸附能力相较于干燥条件下也有一定程度的减小,平均减小幅度为14.18%,并且减小趋势和中孔含水率变化表现出高度一致性(图13a)。相比之下,含水条件下的甲烷填充吸附能力相较于干燥条件则出现显著减小(图13b),平均减小幅度为72.86%。填充吸附能力减小量与微孔含水率变化趋势相一致,这也证明了水对微孔中甲烷的填充吸附行为影响较大。但填充吸附下降比例的趋势并未和表面吸附一样随孔隙含水量表现出高度一致,在MY、TB和QL等样品表现出了一定的波动性变化。这说明微孔中的甲烷填充吸附还可能受到其他因素影响,例如高过成熟度样品中的微孔的异常变化,还有甲烷的可进入微孔的比例等因素。已有研究表明,在高过成熟样品中,微孔含量虽然增多,但微孔孔径却逐渐减小,部分微孔孔径甚至小于甲烷分子的直径,这可能不利于甲烷的填充吸附。关于甲烷填充吸附行为的影响因素仍需要在未来的研究中进一步讨论。
进一步分析甲烷/水和模型结构内的各个原子之间的径向分布函数以探讨气水相互作用的变化(图14)。相比于干燥条件下,LJ和QL在气水共存时都表现出甲烷与硫原子的RDF峰显著增大。这说明水的存在影响了甲烷的动力学行为,驱使甲烷吸附赋存于含硫结构周围,这也是导致含水条件下一些样品的甲烷表面吸附量有所增加的原因。此外,基于之前研究中的水蒸气吸附试验表征结果,本次含水样品中的水分布表现为大部分水以团簇状聚集,其余水则零散分布于含氧官能团周围[11]。这意味着微孔中的水主要是通过空间占位堵塞微孔来影响甲烷的填充吸附能力,这也使得原本干燥条件下以甲烷填充吸附为主的QL转变为以表面吸附行为为主;而中孔由于其储集空间相对较大,并且水的优势吸附位点(主要为含氧位点)与甲烷(主要为含硫位点)并不相同,使得中孔内赋存的水对甲烷的表面吸附能力影响较小。
5. 结 论
1)基于OK晶格理论构建了一个考虑多种吸附行为的甲烷吸附模型。系列样品的甲烷等温吸附曲线的拟合优度均大于0.99。此外,通过与原OK模型和经典朗格缪尔吸附模型的拟合结果进行误差参数对比分析,论证了M-OK模型在拟合甲烷等温吸附曲线上更为准确和可靠。
2)干燥条件下,甲烷主要通过孔隙填充吸附的方式吸附至含硫结构周围;甲烷的吸附行为与孔隙发育密切相关,甲烷的填充吸附行为主要发生在微孔中,而表面吸附行为则主要在中孔内。
3)含水条件下,甲烷吸附能力会极大降低,并且甲烷的主要吸附行为发生转变,由干燥条件下填充吸附为主转变为含水条件下的表面吸附为主。簇状分布的水分子通过占据微孔空间显著降低甲烷的填充吸附能力;相比之下,由于中孔空间较大并且水分子和甲烷吸附位点的差异,使得水对中孔中甲烷表面吸附行为的影响相对较小。
-
表 1 系列样品的基本信息
Table 1 Sample information
样品编号 采样位置 成熟度Ro/% 孔隙体积/(cm3·g−1) 微孔 中孔 LJ 城口地区罗江剖面 1.27 0.035 0.082 PS 彭水地区鹿角剖面 1.44 0.007 0.015 BP 城口地区北坪剖面 1.66 0.014 0.163 MY 开州地区满月剖面 2.24 0.031 0.074 TB 城口地区田坝剖面 2.66 0.038 0.299 QL 石柱地区漆辽剖面 2.93 0.061 0.272 注:采用国际纯粹与应用化学联合会(IUPAC)的孔隙分类标准。微孔( < 2 nm)和中孔(2~50 nm)体积通过二氧化碳和氮气吸附测试得到。 表 2 含水样品水分布特征
Table 2 Water distribution characteristics of wet samples
样品编号 含水饱和度/% 微孔中含水比例/% 中孔中含水比例/% LJ 68.08 34.62 55.22 PS 66.65 11.61 77.93 BP 61.29 8.19 77.35 MY 62.59 33.21 56.18 TB 81.65 17.89 53.23 QL 41.15 23.59 58.29 表 3 LJ和QL大分子模型的组成和结构参数
Table 3 Compositional and structural parameters of LJ and QL models
表 4 不同吸附模型拟合参数
Table 4 Fitting parameters of different adsorption models
吸附模型 拟合参数 样品编号 LJ PS BP MY TB QL M-OK n0/(mmol·g−1) 0.26 0.057 0.39 0.21 0.42 0.64 nf/(mmo·g−1) 1.68 0.08 1.11 1.60 1.79 2.29 ρa/(g·cm−3) 0.21 0.39 0.33 0.40 0.23 0.19 OK n0/(mmol·g−1) 1.54 0.07 0.82 0.99 1.31 2.12 ρmc/(g·cm−3) 0.20 0.54 0.35 0.48 0.27 0.21 Langmuir VL/(mmol·g−1) 3.08 0.14 1.65 1.99 2.61 4.23 PL/MPa 11.65 1.47 1.62 4.19 1.52 4.06 ρa/(g·cm−3) 0.21 0.54 0.35 0.48 0.26 0.22 -
[1] 王红岩,周尚文,赵群,等. 川南地区深层页岩气富集特征、勘探开发进展及展望[J]. 石油与天然气地质,2023,44(6):1430−1441. WANG Hong, ZHOU Shangwen, ZHAO Qun, et al. Enrichment characteristics, exploration and exploitation progress, and prospects of deep shale gas in the southern Sichuan Basin, China[J]. Oil & Gas Geology,2023,44(6):1430−1441.
[2] 邹才能,董大忠,熊伟,等. 中国页岩气新区带、新层系和新类型勘探进展、挑战及对策[J]. 石油与天然气地质,2024,45(2):309−326. ZOU Caineng, DONG Dazhong, XIONG Wei, et al. Advances, challenges, and countermeasures in shale gas exploration of underexplored plays, sequences and new types in China[J]. Oil & Gas Geology,2024,45(2):309−326.
[3] 聂海宽,党伟,张珂,等. 中国页岩气研究与发展20年:回顾与展望[J]. 天然气工业,2024,44(3):20−52. NIE Haikuan, DANG Wei, ZHANG Ke, et al. Two decades of shale gas research & development in China:Review and prospects[J]. Natural Gas Industry,2024,44(3):20−52.
[4] 金亦秋,赵群,牟易升,等. 泸州地区深层页岩气水平井套变成因机理探讨[J]. 天然气工业,2024,44(2):99−110. JIN Yiqiu, ZHAO Qun, MOU Yisheng, et al. Discussion on formation mechanism of casing deformation in horizontal wells in deep shale gas of Luzhou area[J]. Natural Gas Industry,2024,44(2):99−110.
[5] 高芸,王蓓,胡迤丹,等. 2023年中国天然气发展述评及2024年展望[J]. 天然气工业,2024,44(2):166−177. doi: 10.3787/j.issn.1000-0976.2024.02.016 GAO Yun, WANG Bei, HU Yandan, et al. Development of China's natural gas:Review 2023 and outlook 2024[J]. Natural Gas Industry,2024,44(2):166−177. doi: 10.3787/j.issn.1000-0976.2024.02.016
[6] 姚艳斌,刘大锰. 基于核磁共振弛豫谱技术的页岩储层物性与流体特征研究[J]. 煤炭学报,2018,43(1):181−189. YAO Yanbin, LIU Dameng. Petrophysical properties and fluids transportation in gas shale:A NMR relaxation spectrum analysis method[J]. Journal of China Coal Society,2018,43(1):181−189.
[7] 陈掌星,冯东,吴克柳,等. 页岩气有机质和无机质吸附能力定量表征[J]. 中国石油大学学报(自然科学版),2023,47(5):65−75. CHEN Zhangxing, FENG Dong, WU Keliu, et al. Quantificational determination of methane adsorption in organic matter and inorganic matter of shale rocks[J]. Journal of China University of Petroleum (Edition of Natural Science),2023,47(5):65−75.
[8] 刘杰,陈银,章涛,等. 页岩纳米有机质孔隙中的润湿性研究[J]. 力学学报,2023,55(8):1800−1808. doi: 10.6052/0459-1879-23-140 LIU Jie, CHEN Yin, ZHANG Tao, et al. Wettability analysis in shale organic pores at the nanoscale[J]. Chinese Journal of Theoretical and Applied Mechanics,2023,55(8):1800−1808. doi: 10.6052/0459-1879-23-140
[9] PATHAK M, HUANG H, MEAKIN P, et al. Molecular investigation of the interactions of carbon dioxide and methane with kerogen:Application in enhanced shale gas recovery[J]. Journal of Natural Gas Science and Engineering,2018,51:1−8. doi: 10.1016/j.jngse.2017.12.021
[10] HUANG L, NING Z F, WANG Q, et al. Effect of organic type and moisture on CO2/CH4 competitive adsorption in kerogen with implications for CO2 sequestration and enhanced CH4 recovery[J]. Applied Energy,2018,210:28−43. doi: 10.1016/j.apenergy.2017.10.122
[11] ZHANG C, YAO Y B, SWENNEN R, et al. Combined effects of the chemical structure and nanopore development on water vapor/liquid adsorption in shale kerogen[J]. Colloids and Surfaces A:Physicochemical and Engineering Aspects,2022,653:129920.
[12] SANG G J, LIU S M, ELSWORTH D, et al. Evaluation and modeling of water vapor sorption and transport in nanoporous shale[J]. International Journal of Coal Geology,2020,228:103553. doi: 10.1016/j.coal.2020.103553
[13] WU H, YAO Y B, LIU D M, et al. DLVO-based analyses of the water vapor adsorption and condensation in hydrophilic nanopores of low-rank coal[J]. Energy & Fuels,2021,35(15):11920−11929.
[14] YANG R, JIA A Q, HE S, et al. Experimental investigation of water vapor adsorption isotherm on gas-producing Longmaxi shale:Mathematical modeling and implication for water distribution in shale reservoirs[J]. Chemical Engineering Journal,2021,406:125982. doi: 10.1016/j.cej.2020.125982
[15] ZHANG Z D, YU Q C. The effect of water vapor on methane adsorption in the nanopores of shale[J]. Journal of Natural Gas Science and Engineering,2022,101:104536. doi: 10.1016/j.jngse.2022.104536
[16] ZOLFAGHARI A, DEHGHANPOUR H, HOLYK J. Water sorption behaviour of gas shales:I. Role of clays[J]. International Journal of Coal Geology,2017,179:130−138. doi: 10.1016/j.coal.2017.05.008
[17] CHARRIÈRE D, BEHRA P. Water sorption on coals[J]. Journal of Colloid and Interface Science,2010,344(2):460−467. doi: 10.1016/j.jcis.2009.11.064
[18] ZHANG C, YAO Y B, ELSWORTH D, et al. Microstructure characterization of kerogen in mature shale:Molecular investigation of micropore development[J]. Journal of Natural Gas Science and Engineering,2021,95:104239. doi: 10.1016/j.jngse.2021.104239
[19] ZHOU S W, XUE H Q, NING Y, et al. Experimental study of supercritical methane adsorption in Longmaxi shale:Insights into the density of adsorbed methane[J]. Fuel,2018,211:140−148. doi: 10.1016/j.fuel.2017.09.065
[20] LANGMUIR I. The adsorption of gases on plane surfaces of glass, mica and platinum[J]. Journal of the American Chemical Society,1918,40(9):1361−1403. doi: 10.1021/ja02242a004
[21] LANGMUIR I. The constitution and fundamental properties of solids and liquids[J]. Journal of the Franklin Institute,1917,183(1):102−105. doi: 10.1016/S0016-0032(17)90938-X
[22] NGUYEN C, DO D D. The Dubinin–Radushkevich equation and the underlying microscopic adsorption description[J]. Carbon,2001,39(9):1327−1336. doi: 10.1016/S0008-6223(00)00265-7
[23] SAKUROVS R, DAY S, WEIR S, et al. Application of a modified dubinin–radushkevich equation to adsorption of gases by coals under supercritical conditions[J]. Energy & Fuels,2007,21(2):992−997.
[24] ARANOVICH G L, DONOHUE M D. Predictions of multilayer adsorption using lattice theory[J]. Journal of Colloid and Interface Science,1997,189(1):101−108. doi: 10.1006/jcis.1997.4796
[25] SUDIBANDRIYO M, MOHAMMAD S A, ROBINSON R L, et al. Ono–Kondo lattice model for high-pressure adsorption:Pure gases[J]. Fluid Phase Equilibria,2010,299(2):238−251. doi: 10.1016/j.fluid.2010.09.032
[26] Gibbs J W. The collected works of J. Willard Gibbs[M]. Longmans, Green and Company, 1928.
[27] TIAN H, LI T F, ZHANG T W, et al. Characterization of methane adsorption on overmature Lower Silurian–Upper Ordovician shales in Sichuan Basin, southwest China:Experimental results and geological implications[J]. International Journal of Coal Geology,2016,156:36−49. doi: 10.1016/j.coal.2016.01.013
[28] UNGERER P, COLLELL J, YIANNOURAKOU M. Molecular modeling of the volumetric and thermodynamic properties of kerogen:Influence of organic type and maturity[J]. Energy & Fuels,2015,29(1):91−105.
-
期刊类型引用(1)
1. 陈君青, 贾承造, 姜林, 庞宏, 火勋港, 陈冬霞, 施砍园, 胡涛, 杨晓斌, 冉钧. 全油气系统非常规油气成藏过程中自封闭作用的主要类型与定量表征. 石油与天然气地质. 2025(04)
百度学术
其他类型引用(0)


下载:

